First Measurement of the Characteristic Depletion Radius

The first-ever empirical measurement of the "depletion radius" using real-world weak lensing data, validating simulation predictions against observational data to redefine how we understand the boundaries of dark matter haloes.

Publication: Monthly Notices of the Royal Astronomical Society (MNRAS), 2022
Role: First Author
Data Source: DESI Legacy Imaging Surveys (DR8/DR9)

Read the Full Paper

Summary

This paper conducted the first-ever empirical measurement of the "depletion radius"—a physical boundary of dark matter haloes previously identified only in simulations (see Paper 2). Using real-world observational data from the DESI Legacy Imaging Surveys, I validated that the depletion radius exists in nature, not just in computational models.

Data Visualization

The figures in this paper demonstrate the ability to communicate complex observational results through thoughtful visual design. Each figure was created using Python (Matplotlib, Seaborn) with custom visualization pipelines.

Figure 1: Phase Space Visualization

Phase space diagram showing the radial velocity distribution of particles around dark matter haloes, with color indicating particle density and vertical lines marking key physical radii.
Figure 1: Phase space diagram showing the radial velocity distribution of particles around dark matter haloes. The color map indicates particle density, with vertical lines marking key physical radii including the splashback radius and depletion radius. This visualization reveals the distinct dynamical populations of infalling and orbiting matter.

Data science approach: Phase-space density estimation using kernel-based methods on millions of particle positions and velocities. The layered visualization (density colormap + reference lines) encodes multiple data dimensions simultaneously, enabling identification of distinct dynamical populations.

Figure 2: MCMC Fits for Mass-Binned Haloes

Multi-panel plot showing excess surface density and bias profiles for haloes binned by mass, with MCMC fit results and uncertainty bands.
Figure 2: Excess surface density (left panels) and bias profiles (right panels) for haloes binned by weak lensing virial mass. Points show observational measurements with error bars; solid lines show best-fit models from MCMC sampling. The bias trough visible in the right panels marks the depletion boundary.

Data science approach: Bayesian parameter estimation using MCMC sampling to fit theoretical models to observational data. The multi-panel layout enables direct comparison across mass bins, revealing how the depletion radius scales with halo mass. Uncertainty bands communicate the precision of the measurements.

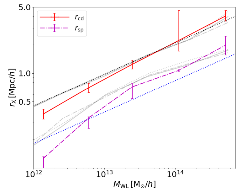
Figure 3: Characteristic Radii vs. Halo Mass

Plot showing the characteristic depletion radius and splashback radius as functions of weak lensing virial mass, with simulation predictions overlaid.
Figure 3: The characteristic depletion radius (rcd) and splashback radius (rsp) as functions of weak lensing virial mass. Points show observational measurements; lines show predictions from N-body simulations. The agreement validates the theoretical framework established in simulation studies.

Data science approach: Model validation through comparison of observational measurements with simulation predictions. The scaling relations reveal the physical connection between halo mass and boundary locations, providing a predictive framework for future observations.

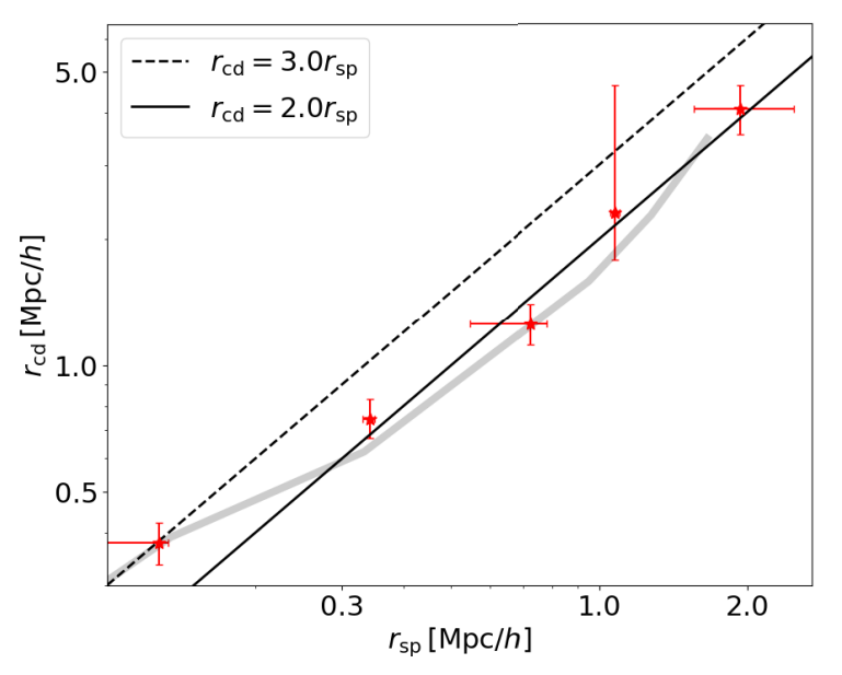
Figure 4: Depletion vs. Splashback Radii

Scatter plot showing the relationship between characteristic depletion radius and splashback radius, demonstrating their correlation and physical connection.
Figure 4: The relationship between the characteristic depletion radius and splashback radius. The correlation demonstrates that these two physical scales are connected through the underlying mass accretion process, with the depletion radius consistently located beyond the splashback radius.

Data science approach: Correlation analysis between two derived physical quantities. The scatter plot with error bars communicates both the central relationship and the measurement uncertainties, enabling assessment of the physical connection between these boundary definitions.

Data Pipeline & Architecture

The core technical challenge was designing a pipeline to cross-match massive halo catalogs with source galaxy imaging data across different survey releases:

  • Halo catalog: Galaxy group catalogs constructed from spectroscopic surveys, providing halo mass estimates and positions
  • Source imaging: DESI Legacy Imaging Surveys DR8 and DR9, providing galaxy shape measurements for weak lensing analysis
  • Cross-matching: Spatial matching of lens (halo) and source (background galaxy) catalogs across survey footprints with careful selection criteria
  • Shear estimation: Fourier_Quad pipeline for robust shape measurement, converting galaxy ellipticities into gravitational shear estimates
  • Stacking analysis: Signal averaging across thousands of halos to extract the weak lensing signal with sufficient signal-to-noise ratio

Pipeline Architecture Significance

This pipeline is essentially a large-scale ETL (Extract, Transform, Load) system: ingesting data from multiple astronomical surveys, transforming it through statistical processing stages, and producing validated scientific measurements. The cross-matching and quality control requirements mirror challenges in enterprise data engineering.

Statistical Methodology

  • Stacked weak lensing: Combining signals from individual halos to build statistically significant radial profiles
  • Fourier_Quad shear estimation: Fourier-space method for measuring galaxy shapes, more robust than real-space approaches for noisy data
  • MCMC parameter estimation: Markov Chain Monte Carlo sampling to fit theoretical density profile models and extract characteristic radii with uncertainties
  • Profile fitting: Fitting theoretical density profile models to the observed lensing signal to extract characteristic radii
  • Statistical validation: Bootstrap resampling, systematic error estimation, and comparison with simulation-based predictions

Key Results

  • Confirmed the existence of the depletion radius in observational data for the first time
  • Measured depletion radius values consistent with N-body simulation predictions
  • Demonstrated that the depletion radius provides physical information beyond traditional halo boundary definitions (virial radius, splashback radius)
  • Validated the theoretical framework established in Paper 2 using independent observational evidence

Skills Demonstrated

Weak Gravitational Lensing DESI Legacy Surveys Fourier_Quad Pipeline MCMC Sampling Bayesian Parameter Estimation Statistical Validation Cross-survey Data Matching Signal Processing Python Matplotlib LaTeX Observational Astronomy Pipeline Architecture Data Visualization