Prospects for Determining the Mass Distributions of Dark Matter Haloes

A feasibility study for next-generation telescopes, assessing whether a new density profile model can outperform the 20-year-old standard—and what data quality is needed to tell the difference.

Publication: Monthly Notices of the Royal Astronomical Society (MNRAS), 2018
Role: First Author
Future Survey: LSST / Vera C. Rubin Observatory

Read the Full Paper

Summary

This paper was a feasibility study for the Large Synoptic Survey Telescope (LSST, now Vera C. Rubin Observatory). The core question: will next-generation survey data have sufficient quality to distinguish between the traditional NFW density profile model (used for 20+ years) and the newer DK profile (which incorporates the physics of mass accretion)? This is fundamentally a model selection and forecasting problem.

Data Visualization

The figures in this paper demonstrate the ability to communicate model comparison results and feasibility assessments through thoughtful visual design. Each figure was created using Python (Matplotlib, Seaborn) with custom visualization pipelines.

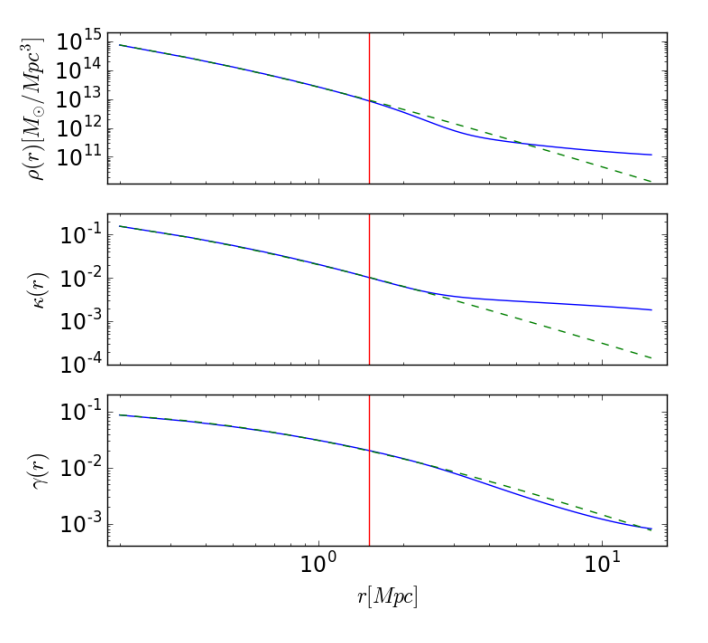
Figure 1: NFW vs. DK Profile Comparison

Three-panel comparison of NFW and DK profiles showing 3D density, convergence, and shear as functions of radius, demonstrating where the models diverge.
Figure 1: Comparison of NFW (dashed green) and DK (solid blue) profiles showing 3D mass density (top), convergence (middle), and shear (bottom) as functions of radius. The vertical red line marks r200c. The profiles agree well within the virial radius but diverge significantly in the outer regions where the DK profile captures the steepening due to the splashback radius.

Data science approach: Multi-panel comparison of theoretical models across different observable quantities. The stacked layout enables direct visual comparison of where the models agree (inner regions) and diverge (outer regions), informing where observational data will have the most discriminating power.

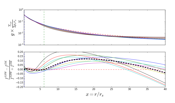
Figure 2: Shear Forms for NFW and DK Profiles

Plot showing the scaled shear forms for NFW and DK profiles across a range of mass and concentration parameters, demonstrating the self-similarity of NFW and parameter dependence of DK.
Figure 2: The shear forms (scaled shear) for NFW (dashed red) and DK (solid curves) profiles across a range of mass and concentration parameters. The NFW form is self-similar (all parameters collapse to one curve), while the DK form shows parameter dependence in the outer regions. The vertical dashed line marks a typical weak lensing fit radius.

Data science approach: Dimensionless scaling to reveal universal behavior. By plotting the scaled shear form, we identify which aspects of the profile are universal (NFW self-similarity) versus parameter-dependent (DK outer regions), informing the fitting strategy and parameter constraints.

Figure 4: DK vs. NFW Mass Estimates

Scatter plot comparing DK and NFW mass estimates against true masses from simulations, showing the bias and scatter of each model.
Figure 4: Comparison of DK (red squares) and NFW (blue points) mass estimates against true masses from simulations. The green dotted line shows y = x (perfect recovery). Both models show scatter, but the DK profile provides slightly less biased mass estimates, particularly for the most massive clusters.

Data science approach: Model validation through comparison with ground truth. The scatter plot with identity line enables visual assessment of bias (systematic offset from the line) and precision (scatter around the line) for each model, directly informing which model provides more accurate mass estimates.

Figure 7: Triaxiality Visualization

Convergence map of a simulated cluster with arrows indicating the projected principal axes, demonstrating the impact of triaxiality on weak lensing mass estimates.
Figure 7: Convergence (κ) map of a simulated cluster with arrows indicating the projected principal axes (1 = major, 2 = intermediate, 3 = minor). The major axis appears shortest in projection because it lies close to the line of sight, demonstrating how triaxiality can lead to large errors in mass estimation when using spherical models.

Data science approach: Visualization of systematic effects. By overlaying the 3D shape information (principal axes) on the 2D observable (convergence map), we communicate how projection effects can bias mass estimates, motivating the need for stacking analyses that average over random orientations.

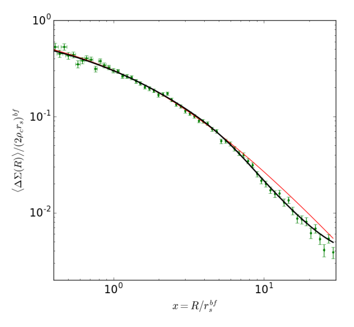
Figure 8: Stacking Analysis Results

Plot showing the stacked weak lensing signal compared to NFW and DK model predictions, demonstrating that the DK profile better describes the outer regions of stacked clusters.
Figure 8: Stacked weak lensing signal (green points) compared to DK (thick black) and NFW (red) model predictions. The stacking analysis combines signals from multiple clusters to increase signal-to-noise. The DK profile provides a better description of the outer regions, where the density steepening due to the splashback radius becomes apparent.

Data science approach: Signal averaging to increase statistical power. Stacking is analogous to ensemble methods in machine learning—by combining many noisy individual measurements, we extract a cleaner signal that reveals the underlying model behavior.

Data Pipeline

  • Simulation source: Cosmo-OWLS simulations providing realistic halo density profiles with full baryonic physics
  • Synthetic lensing generation: Creating mock weak lensing measurements with realistic noise properties matching LSST specifications (source density, shape noise, photometric redshift errors)
  • Profile fitting: Fitting both NFW and DK models to the synthetic data using Bayesian parameter estimation
  • Signal-to-noise forecasting: Computing how profile distinguishability scales with survey depth, source density, and halo mass

Industry Parallel: Technology Evaluation

This paper is structurally a technology evaluation / competitive analysis: given a new "product" (DK profile) and a market standard (NFW profile), under what conditions does the new product demonstrably outperform? The methodology—synthetic data generation, controlled comparison, sensitivity to deployment conditions—maps directly to product feasibility studies and A/B test design.

Statistical Methodology

  • Bayesian model comparison: Computing Bayesian evidence for NFW vs. DK profiles to determine which model is preferred by the data
  • Signal-to-noise forecasting: Predicting the survey conditions under which the DK profile becomes statistically distinguishable from NFW
  • Parameter degeneracy analysis: Identifying which DK profile parameters are well-constrained vs. degenerate with observational uncertainties
  • Parameterized accretion modeling: The DK profile encodes the mass accretion history of haloes through its outer slope parameter, providing physical information not available from NFW fits

Key Results

  • LSST-quality data will be sufficient to distinguish DK from NFW profiles for massive galaxy clusters
  • The outer regions of halo profiles (beyond the virial radius) contain the most discriminating power between models
  • Accretion rate information can be extracted from DK profile fits, providing physical insights not available from traditional NFW analysis
  • Identified the minimum signal-to-noise thresholds needed for robust model selection, informing survey strategy and analysis pipeline design

Skills Demonstrated

Feasibility Studies Model Selection Bayesian Evidence S/N Forecasting LSST / Rubin Observatory Cosmo-OWLS Simulations Parameterized Modeling Synthetic Data Generation Stacking Analysis Python Matplotlib LaTeX Competitive Analysis Data Visualization Scientific Writing