The Impact of Baryonic Physics and Massive Neutrinos

Investigating how non-dark-matter factors "noise up" cosmological signals through synthetic catalog generation, ray-tracing pipelines, and sensitivity analysis at scale.

Publication: Monthly Notices of the Royal Astronomical Society (MNRAS), 2019
Role: First Author
Simulation Suite: BAHAMAS (BAryons and HAloes of MAssive Systems)

Read the Full Paper

Summary

This paper investigated how non-dark-matter factors—specifically baryonic physics (gas, stars, feedback processes) and massive neutrinos—affect the cosmological signals that future surveys will use to measure the universe's properties. Using the BAHAMAS simulation suite, I created synthetic observational catalogs through ray-tracing to determine whether these factors would lead to biased scientific conclusions.

Data Visualization

The figures in this paper demonstrate the ability to communicate complex simulation results and sensitivity analyses through thoughtful visual design. Each figure was created using Python (Matplotlib, Seaborn) with custom visualization pipelines.

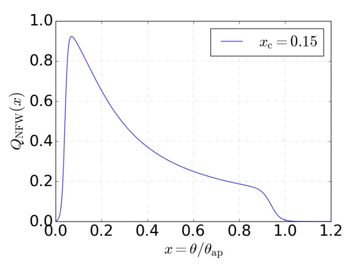
Figure 1: NFW Filter Function for Aperture Mass

Plot showing the NFW filter function Q_NFW(x) used for aperture mass statistics, demonstrating the compensated filter design that isolates lensing signal.
Figure 1: The NFW filter function QNFW(x) used for aperture mass statistics. This compensated filter design isolates the weak lensing signal from galaxy clusters while suppressing contributions from large-scale structure, enabling robust peak identification in noisy convergence maps.

Data science approach: Filter design for signal extraction in noisy data. The compensated filter (positive core, negative annulus) is analogous to edge detection kernels in image processing, optimized for the expected signal profile of galaxy clusters.

Figure 2: S/N Contours on Convergence Map

Convergence map with signal-to-noise contours overlaid, showing cluster locations and the correspondence between mass concentrations and detected peaks.
Figure 2: Signal-to-noise (S/N) contours overlaid on a convergence map from the simulation. Circles mark the locations of identified galaxy clusters. The correspondence between mass concentrations (bright regions) and S/N peaks demonstrates the effectiveness of the aperture mass approach for cluster detection.

Data science approach: Multi-layer visualization combining continuous data (convergence map), derived statistics (S/N contours), and catalog information (cluster positions). This enables visual validation of the peak detection algorithm against known cluster locations.

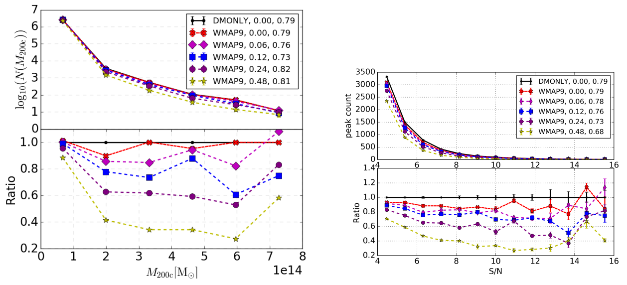
Figure 5: Halo Mass Function and S/N Peak Distributions

Multi-panel plot showing the halo mass function and S/N peak distributions for different simulation configurations, revealing the impact of baryonic physics and neutrino mass.
Figure 5: The halo mass function (left) and S/N peak distributions (right) for different simulation configurations. Comparing dark-matter-only (DMO), baryonic physics (AGN), and massive neutrino runs reveals how each physical effect modifies the observable peak statistics.

Data science approach: Controlled comparison across simulation configurations, analogous to A/B testing in industry. By holding all other parameters constant and varying only the physics model, we isolate the causal impact of each effect on the observable statistics.

Figure 7: Relative Differences in Peak Counts

Plot showing the relative percentage differences in peak counts between different simulation configurations, quantifying the systematic bias from ignoring baryonic physics.
Figure 7: Relative percentage differences in peak counts between simulation configurations. The systematic suppression of high-S/N peaks by baryonic physics (blue) and the distinct signature of massive neutrinos (other colors) demonstrate that these effects must be modeled to avoid biased cosmological parameter estimates.

Data science approach: Quantifying systematic biases through relative difference metrics. This visualization directly communicates the magnitude of the systematic error that would result from ignoring these physical effects in survey analysis pipelines.

Figure 9: S/N Peaks vs. Halo Mass

Scatter plot showing the relationship between S/N peak values and halo mass for different neutrino mass configurations, demonstrating the mass-dependent impact of neutrinos.
Figure 9: The relationship between S/N peak values and halo mass (M200c) for different neutrino mass configurations. The suppression of high-mass haloes by massive neutrinos creates a distinct signature in the S/N-mass relation that can be used to constrain neutrino properties.

Data science approach: Feature engineering for parameter inference. The S/N-mass relation encodes information about the underlying cosmology, and the mass-dependent impact of neutrinos provides a pathway to constrain fundamental physics from observational data.

Data Pipeline & Architecture

This project involved managing a complex, multi-stage simulation and analysis pipeline:

  • Simulation suite management: BAHAMAS provides multiple simulation runs with different physics configurations (dark-matter-only, with baryons, with neutrinos of varying masses), enabling controlled comparisons
  • Ray-tracing through light-cones: Tracing simulated photon paths through the simulation volume to generate synthetic weak lensing maps, replicating how real telescopes observe the universe
  • Synthetic catalog generation: Converting ray-traced maps into mock observational catalogs that mimic the properties of real survey data (galaxy positions, shapes, noise characteristics)
  • Aperture mass statistics: Computing peak statistics from the synthetic maps to quantify the lensing signal in a way that is sensitive to cosmological parameters
  • Sensitivity analysis: Comparing statistics across simulation configurations to isolate the impact of each physical effect

Pipeline Architecture Significance

This is essentially a large-scale simulation-to-observation ETL pipeline running on HPC systems. The ray-tracing component alone involves tracing billions of light paths through a 3D simulation volume—a massively parallel computing problem. Managing multiple simulation configurations and ensuring apples-to-apples comparisons mirrors the challenges of A/B testing and controlled experiments in industry.

Statistical Methodology

  • Aperture mass statistics: Filtering-based approach to extract lensing signal at multiple angular scales, more robust than direct shear measurement for peak identification
  • Peak counting: Identifying and characterizing overdensities in the lensing signal as a function of signal-to-noise threshold
  • Covariance estimation: Computing the full covariance matrix of peak counts across bins, accounting for cosmic variance and shot noise
  • Bias quantification: Measuring the systematic shift in inferred cosmological parameters when baryonic/neutrino effects are ignored

Key Results

  • Baryonic physics significantly suppresses weak lensing peak counts, particularly at high signal-to-noise ratios
  • Massive neutrinos produce a distinct signature that is partially degenerate with baryonic effects but can be distinguished with sufficient data quality
  • Ignoring these effects would lead to biased cosmological parameter estimates in next-generation surveys, quantifying the systematic error budget
  • Provided guidance for future survey analysis pipelines on which physical effects must be modeled to achieve target precision

Skills Demonstrated

Synthetic Catalog Generation Ray-tracing Sensitivity Analysis HPC Computing Aperture Mass Statistics BAHAMAS Simulations Covariance Estimation A/B Testing Methodology Python Matplotlib LaTeX Pipeline Architecture Controlled Experiments Data Visualization Scientific Writing